Вопрос 3 Параграф 13 ГДЗ Рудзитис 9 класс (2024) (Химия)
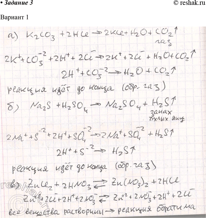
Задание 3 Вариант 1. Даны растворы: а) карбоната калия и соляной кислоты; б) сульфида натрия и серной кислоты; в) хлорида цинка и азотной кислоты.




Ниже вариант решения задания из учебника Рудзитис, Фельдман 9 класс, Просвещение:
Задание 3
Вариант 1. Даны растворы: а) карбоната калия и соляной кислоты; б) сульфида натрия и серной кислоты; в) хлорида цинка и азотной кислоты. Слейте попарно эти растворы, осторожно понюхайте и определите, в каких случаях реакции идут до конца и почему. Составьте уравнения соответствующих реакций в молекулярном, ионном и сокращённом ионном виде.
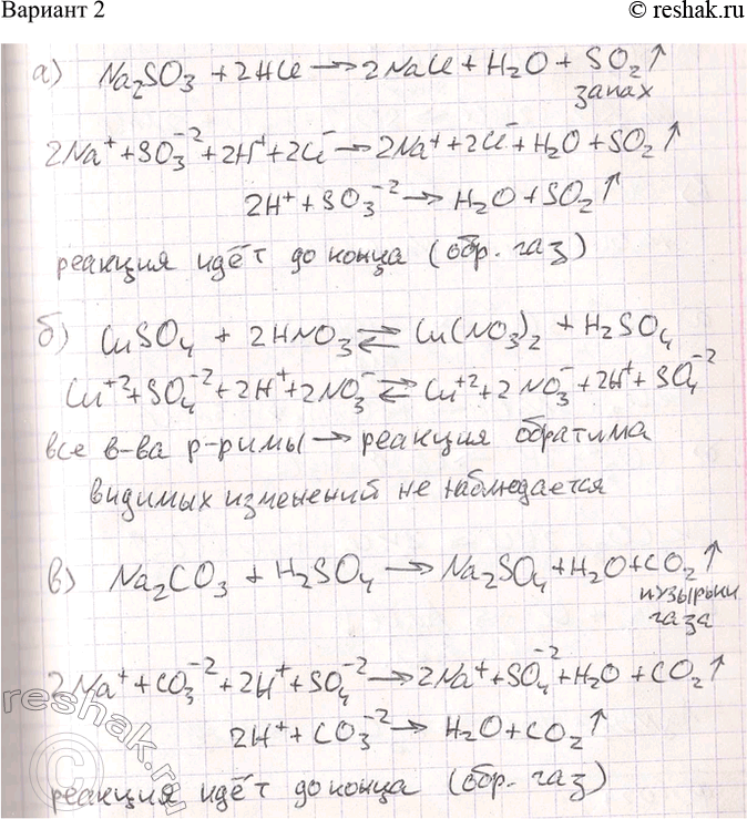
Вариант 2. Даны растворы: а) сульфита натрия и соляной кислоты; б) сульфата меди(ІІ) и азотной кислоты; в) карбоната натрия и серной кислоты. Слейте попарно эти растворы, осторожно понюхайте и определите, в каких случаях реакции идут до конца и почему. Составьте уравнения соответствующих реакций в молекулярном, ионном и сокращённом ионном виде.
