Вопрос 4 Параграф 13 ГДЗ Рудзитис 9 класс (2024) (Химия)
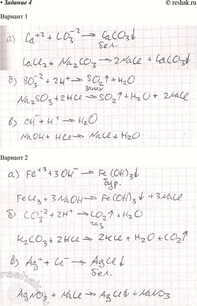
Задание 4 Вариант 1. Осуществите реакции, соответствующие сокращённым ионным уравнениям Вариант 2. Осуществите реакции, соответствующие сокращённым ионным уравнениям *Цитирирование задания со ссылкой на учебник производится исключительно в учебных целях для лучшего понимания разбора решения задания.


Ниже вариант решения задания из учебника Рудзитис, Фельдман 9 класс, Просвещение:
Задание 4
Вариант 1. Осуществите реакции, соответствующие сокращённым ионным уравнениям
Вариант 2. Осуществите реакции, соответствующие сокращённым ионным уравнениям
