Вопрос 5 Параграф 13 ГДЗ Рудзитис 9 класс (2024) (Химия)
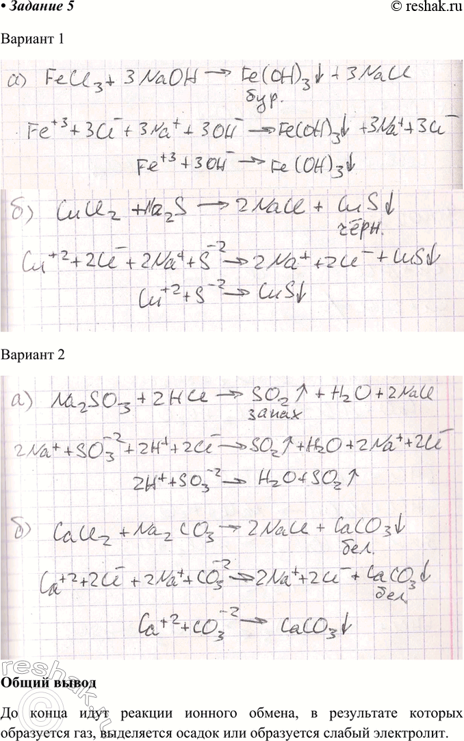
Задание 5 Вариант 1. Пользуясь растворами, находящимися на столе, получите: а) гидроксид железа(ІІІ); б) сульфид меди(ІІ). Составьте молекулярные, ионные и сокращённые ионные уравнения соответствующих реакций.

Ниже вариант решения задания из учебника Рудзитис, Фельдман 9 класс, Просвещение:
Задание 5
Вариант 1. Пользуясь растворами, находящимися на столе, получите: а) гидроксид железа(ІІІ); б) сульфид меди(ІІ). Составьте молекулярные, ионные и сокращённые ионные уравнения соответствующих реакций.
Вариант 2. Пользуясь растворами, находящимися на столе, получите: а) оксид серы(ІV); б) карбонат кальция. Составьте молекулярные, ионные и сокращённые ионные уравнения соответствующих реакций.
Отчёт о работе выполните в произвольной форме.
