Тест Задание 1 Параграф 20 ГДЗ Рудзитис 9 класс (2024) (Химия)
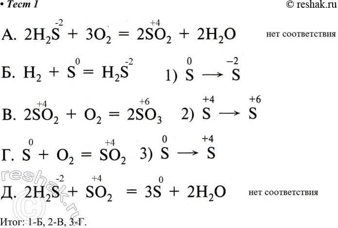
1. Установите соответствие между приведённой схемой химической реакции и примером, иллюстрирующим её. Итог: 1-Б, 2-В, 3-Г. *Цитирирование задания со ссылкой на учебник производится исключительно в учебных целях для лучшего понимания разбора решения задания.

Ниже вариант решения задания из учебника Рудзитис, Фельдман 9 класс, Просвещение:
1. Установите соответствие между приведённой схемой химической реакции и примером, иллюстрирующим её.
Итог: 1-Б, 2-В, 3-Г.
