Вопрос 1 Параграф 23 ГДЗ Рудзитис 9 класс (2024) (Химия)
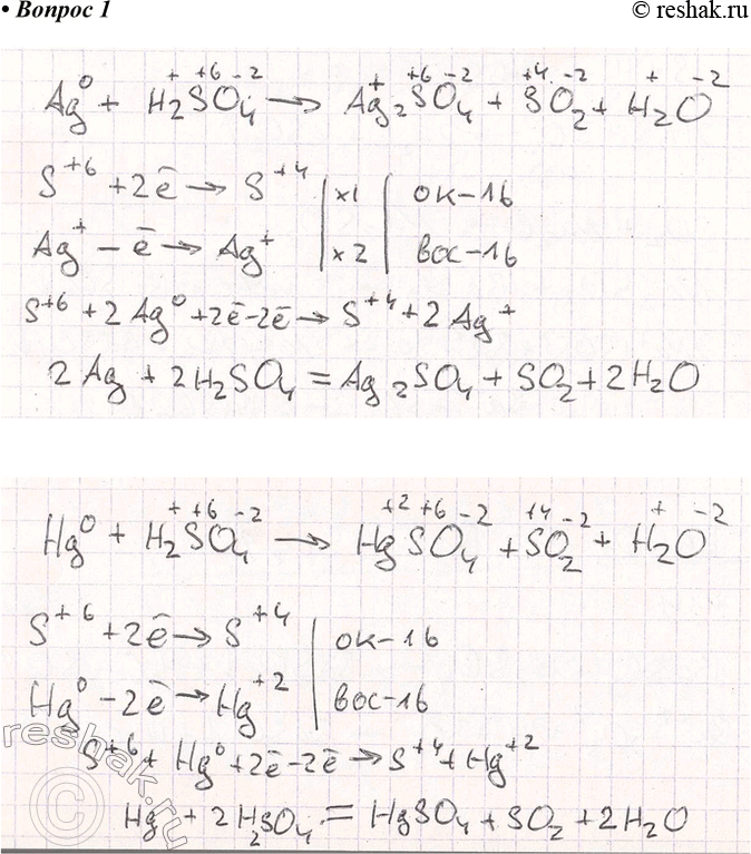
1. Концентрированная серная кислота при нагревании реагирует с ртутью и серебром, подобно тому как она реагирует с медью. Составьте уравнения этих реакций и укажите окислитель и восстановитель.

Ниже вариант решения задания из учебника Рудзитис, Фельдман 9 класс, Просвещение:
1. Концентрированная серная кислота при нагревании реагирует с ртутью и серебром, подобно тому как она реагирует с медью. Составьте уравнения этих реакций и укажите окислитель и восстановитель.
