Вопрос 2 Параграф 23 ГДЗ Рудзитис 9 класс (2024) (Химия)
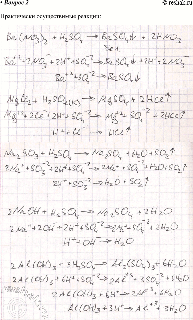
2. Составьте уравнения практически осуществимых реакций. Укажите условия осуществления реакций. В тех случаях, где это возможно, составьте полные и сокращённые ионные уравнения.


Ниже вариант решения задания из учебника Рудзитис, Фельдман 9 класс, Просвещение:
2. Составьте уравнения практически осуществимых реакций.
Укажите условия осуществления реакций. В тех случаях, где это возможно, составьте полные и сокращённые ионные уравнения.
