Вопрос 5 Параграф 29 ГДЗ Рудзитис 9 класс (2024) (Химия)
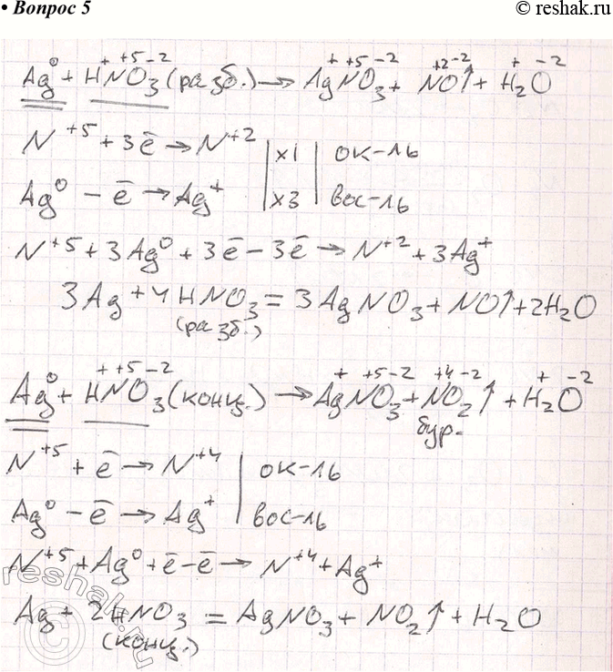
5. Напишите уравнения реакций, протекающих между серебром и разбавленной, а также концентрированной азотной кислотой. Покажите переход электронов и подчеркните окислитель одной чертой, а восстановитель двумя.

Ниже вариант решения задания из учебника Рудзитис, Фельдман 9 класс, Просвещение:
5. Напишите уравнения реакций, протекающих между серебром и разбавленной, а также концентрированной азотной кислотой. Покажите переход электронов и подчеркните окислитель одной чертой, а восстановитель двумя.
