Тест Задание 2 Параграф 29 ГДЗ Рудзитис 9 класс (2024) (Химия)
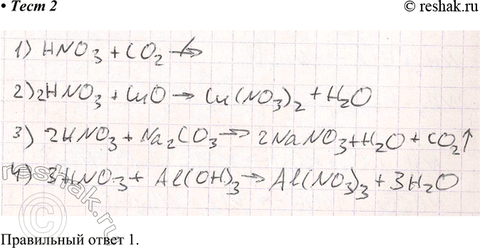
2. Азотная кислота не взаимодействует 1) с оксидом углерода(ІV) 3) с карбонатом натрия 2) с оксидом меди(ІІ) 4) с гидроксидом алюминия Правильный ответ 1.

Ниже вариант решения задания из учебника Рудзитис, Фельдман 9 класс, Просвещение:
2. Азотная кислота не взаимодействует
1) с оксидом углерода(ІV) 3) с карбонатом натрия
2) с оксидом меди(ІІ) 4) с гидроксидом алюминия
Правильный ответ 1.
