Вопрос 4 Параграф 34 ГДЗ Рудзитис 9 класс (2024) (Химия)
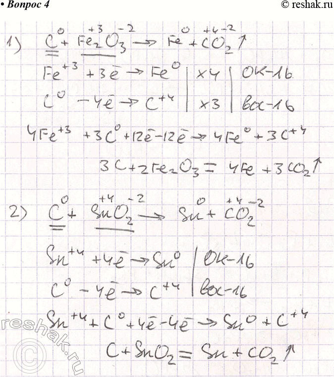
4. Составьте уравнения реакций, протекающих при нагревании угля: 1) с оксидом железа(III); 2) с оксидом олова(ІV). Покажите переход электронов и подчеркните одной чертой окислитель, а двумя — восстановитель.

Ниже вариант решения задания из учебника Рудзитис, Фельдман 9 класс, Просвещение:
4. Составьте уравнения реакций, протекающих при нагревании угля:
1) с оксидом железа(III); 2) с оксидом олова(ІV). Покажите переход электронов и подчеркните одной чертой окислитель, а двумя — восстановитель.
