Вопрос 2 Параграф 45 ГДЗ Рудзитис 9 класс (2024) (Химия)
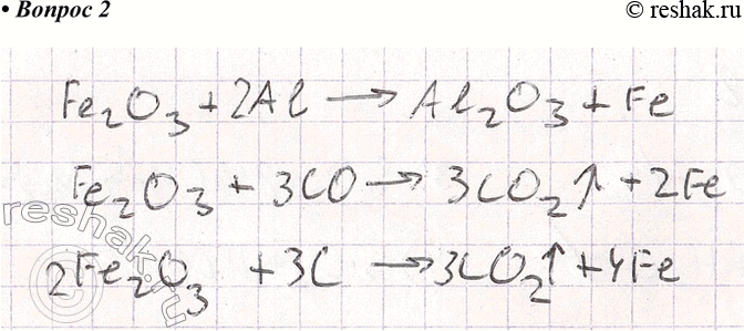
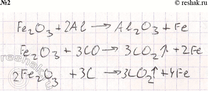
2. Предложите три способа получения железа из железной руды Fe2O, с использованием различных восстановителей. Запишите уравнения реакций. *Цитирирование задания со ссылкой на учебник производится исключительно в учебных целях для лучшего понимания разбора решения задания.


Ниже вариант решения задания из учебника Рудзитис, Фельдман 9 класс, Просвещение:
2. Предложите три способа получения железа из железной руды Fe2O, с использованием различных восстановителей. Запишите уравнения реакций.
