Вопрос 4 Параграф 53 ГДЗ Рудзитис 9 класс (2024) (Химия)
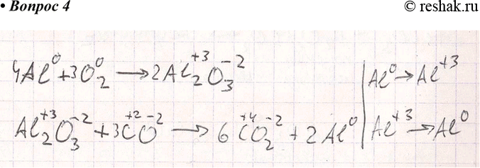
4. Напишите уравнения химических реакций, соответствующих превращениям Аl - > Аl - > Аl Ответ 2 4Al + 3O2 > 2Al2O3 2Al2O3 + 6CO >


Ниже вариант решения задания из учебника Рудзитис, Фельдман 9 класс, Просвещение:
4. Напишите уравнения химических реакций, соответствующих превращениям
Аl - > Аl - > Аl
Ответ 2
4Al + 3O2 > 2Al2O3
2Al2O3 + 6CO > 6CO2+4Al
Часто, именно при помощи алюминия и вытесняют металлы из оксидов – этот способ получения чистых металлов называется алюмотермией. В данном случае, когда из оксида нужно выделить сам алюминий, можно воспользоваться другим способом получения металлов – восстановлением угарным газом.
