Вопрос 1 Параграф 56 ГДЗ Рудзитис 9 класс (2024) (Химия)
Практическая работа 8 Решение экспериментальных задач по теме «Металлы» • Повторите правила техники безопасности при работе в химической лаборатории. • Повторите качественные реакции на катионы и анионы.




Ниже вариант решения задания из учебника Рудзитис, Фельдман 9 класс, Просвещение:
Практическая работа 8
Решение экспериментальных задач по теме «Металлы»
• Повторите правила техники безопасности при работе в химической лаборатории.
• Повторите качественные реакции на катионы и анионы.
Вариант I
1. В четырёх пробирках даны следующие вещества в твёрдом виде: а) хлорид магния; б) гидроксид натрия; в) карбонат натрия; г) нитрат натрия. При помощи химических реакций определите, в какой пробирке находится каждое из этих веществ.
2. При помощи характерных реакций докажите, что выданное вам вещество — сульфат алюминия.
3. В одной пробирке дан раствор хлорида натрия, во второй — раствор хлорида стронция, а в третьей — раствор хлорида алюминия. Определите, в какой пробирке находится каждое из выданных веществ.
4. Практически осуществите следующие превращения:
Fe - > FeCl2 — Fe(OH)2 — > Fe(OH)3 — > Fe(NO3)3
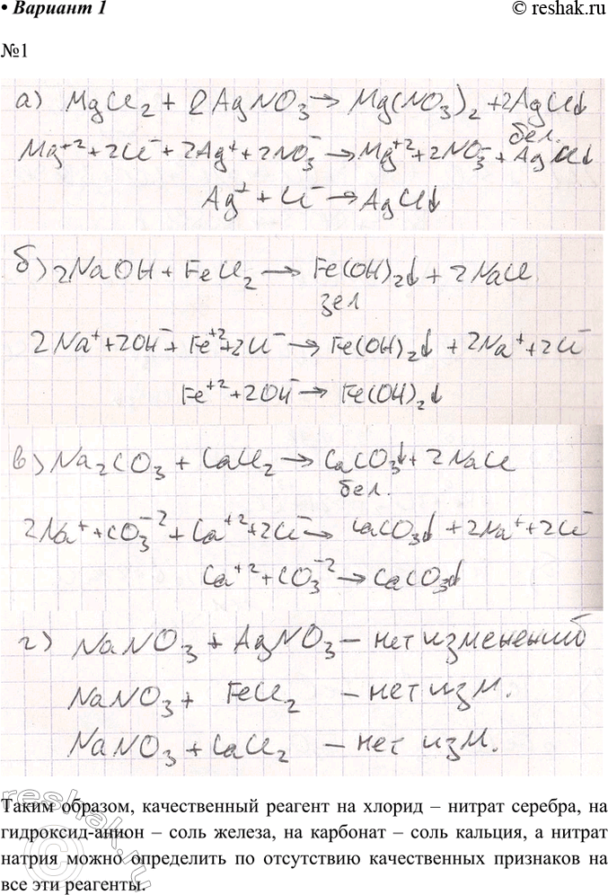
№1
Таким образом, качественный реагент на хлорид – нитрат серебра, на гидроксид-анион – соль железа, на карбонат – соль кальция, а нитрат натрия можно определить по отсутствию качественных признаков на все эти реагенты.
№2
Таким образом, качественной реакцией на сульфат является выпадение белого осадка сульфата бария, а качественная реакция на алюминий – выпадение белого осадка гидроксида алюминия, который растворяется в избытке щелочи.
№3
Таким образом, качественным реагентом на ионы стронция является карбонат, на ионы алюминия – щелочь, а хлорид натрия можно распознать по отсутствию качественных признаков при добавлении обоих реагентов.
