Вопрос 3 Параграф 8 ГДЗ Рудзитис 9 класс (2024) (Химия)
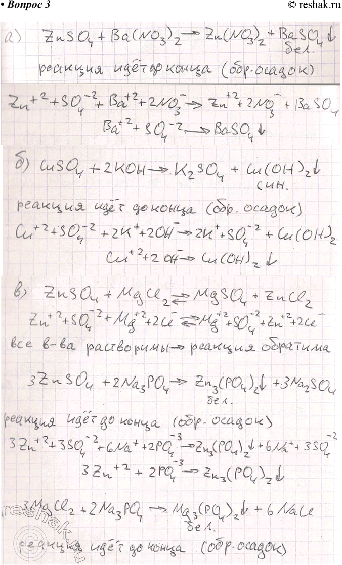
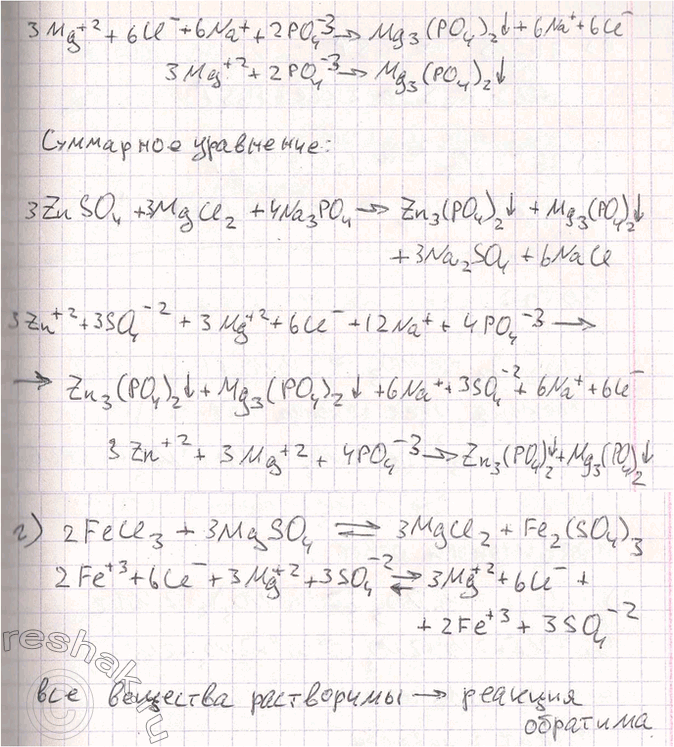
3. Даны растворы: а) сульфата цинка и нитрата бария; б) сульфата меди(ІІ) и гидроксида калия; в) сульфата цинка, хлорида магния и фосфата натрия;


Ниже вариант решения задания из учебника Рудзитис, Фельдман 9 класс, Просвещение:
3. Даны растворы: а) сульфата цинка и нитрата бария; б) сульфата меди(ІІ) и гидроксида калия; в) сульфата цинка, хлорида магния и фосфата натрия; г) хлорида железа(ІІІ) и сульфата магния. При сливании каких растворов реакции обмена пойдут до конца и почему? Составьте уравнения этих реакций в молекулярном, полном и сокращённом ионном виде.
