Упражнение 10 Повторение ГДЗ Мерзляк 10 класс Углубленный уровень (Алгебра)
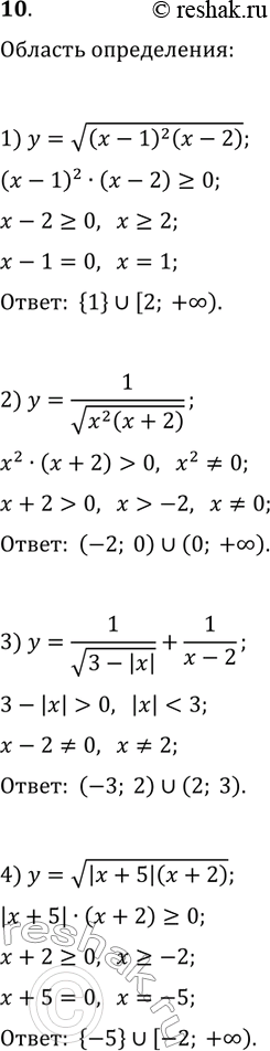
10. Найдите область определения функции: 1) y=v((x-1)^2 (x-2)); 3) y=1/v(3-|x|)+1/(x-2); 2) y=1/v(x^2 (x+2)); 4) y=v(|x+5|(x+2)). *Цитирирование задания со ссылкой на учебник производится исключительно в учебных целях для лучшего понимания разбора решения задания.

Ниже вариант решения задания из учебника Мерзляк, Номировский, Поляков 10 класс, Просвещение:
10. Найдите область определения функции:
1) y=v((x-1)^2 (x-2)); 3) y=1/v(3-|x|)+1/(x-2);
2) y=1/v(x^2 (x+2)); 4) y=v(|x+5|(x+2)).
