Упражнение 104 Повторение ГДЗ Мерзляк 10 класс Углубленный уровень (Алгебра)
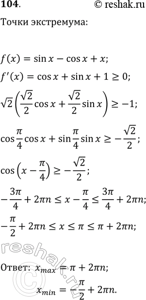
104. Найдите точки минимума и максимума функции f(x)=sin(x)-cos(x)+x. *Цитирирование задания со ссылкой на учебник производится исключительно в учебных целях для лучшего понимания разбора решения задания.

Ниже вариант решения задания из учебника Мерзляк, Номировский, Поляков 10 класс, Просвещение:
104. Найдите точки минимума и максимума функции f(x)=sin(x)-cos(x)+x.
