Упражнение 11 Повторение ГДЗ Мерзляк 10 класс Углубленный уровень (Алгебра)
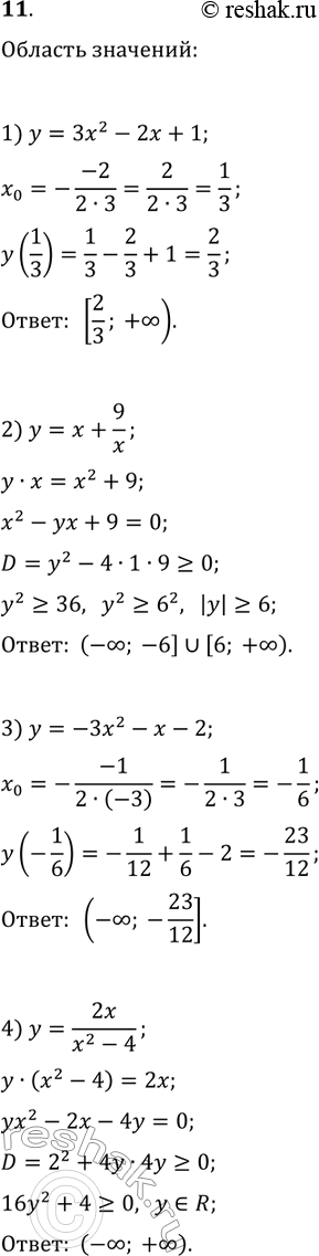
11. Найдите область значений функции: 1) y=3x^2-2x+1; 3) y=-3x^2-x-2; 2) y=x+9/x; 4) y=2x/(x^2-4). *Цитирирование задания со ссылкой на учебник производится исключительно в учебных целях для лучшего понимания разбора решения задания.

Ниже вариант решения задания из учебника Мерзляк, Номировский, Поляков 10 класс, Просвещение:
11. Найдите область значений функции:
1) y=3x^2-2x+1; 3) y=-3x^2-x-2;
2) y=x+9/x; 4) y=2x/(x^2-4).
