Упражнение 17 Повторение ГДЗ Мерзляк 10 класс Углубленный уровень (Алгебра)
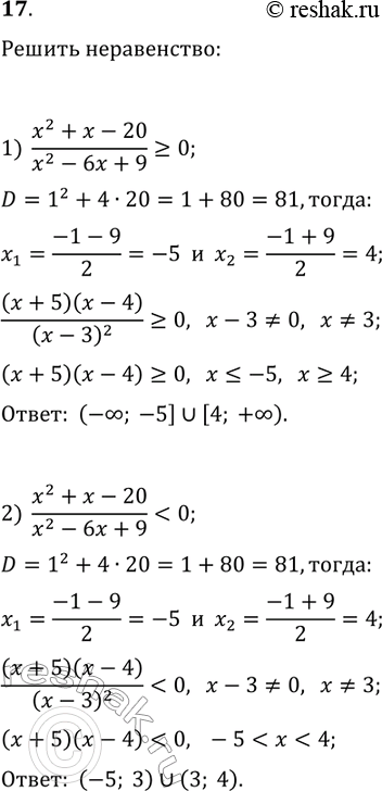
17. Решите неравенство: 1) (x^2+x-20)/(x^2-6x+9)?0; 2) (x^2+x-20)/(x^2-6x+9) *Цитирирование задания со ссылкой на учебник производится исключительно в учебных целях для лучшего понимания разбора решения задания.

Ниже вариант решения задания из учебника Мерзляк, Номировский, Поляков 10 класс, Просвещение:
17. Решите неравенство:
1) (x^2+x-20)/(x^2-6x+9)?0;
2) (x^2+x-20)/(x^2-6x+9)
