Упражнение 18 Повторение ГДЗ Мерзляк 10 класс Углубленный уровень (Алгебра)
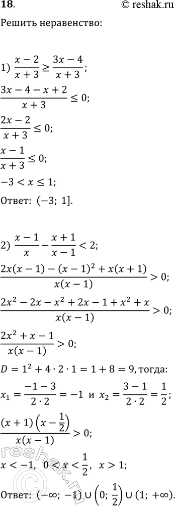
18. Решите неравенство: 1) (x-2)/(x+3)?(3x-4)/(x+3); 2) (x-1)/x-(x+1)/(x-1) *Цитирирование задания со ссылкой на учебник производится исключительно в учебных целях для лучшего понимания разбора решения задания.

Ниже вариант решения задания из учебника Мерзляк, Номировский, Поляков 10 класс, Просвещение:
18. Решите неравенство:
1) (x-2)/(x+3)?(3x-4)/(x+3);
2) (x-1)/x-(x+1)/(x-1)
