Упражнение 20 Повторение ГДЗ Мерзляк 10 класс Углубленный уровень (Алгебра)
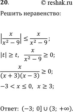
20. Решите неравенство |x/(x^2-9)|?x/(x^2-9). *Цитирирование задания со ссылкой на учебник производится исключительно в учебных целях для лучшего понимания разбора решения задания.

Ниже вариант решения задания из учебника Мерзляк, Номировский, Поляков 10 класс, Просвещение:
20. Решите неравенство |x/(x^2-9)|?x/(x^2-9).
