Упражнение 21 Повторение ГДЗ Мерзляк 10 класс Углубленный уровень (Алгебра)
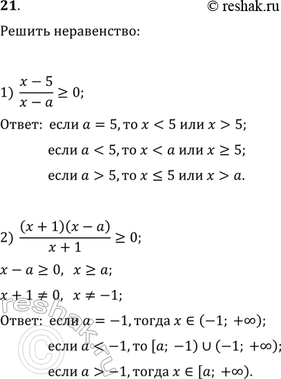
21. Для каждого значения а решите неравенство: 1) (x-5)/(x-a)?0; 2) (x+1)(x-a)/(x+1)?0. *Цитирирование задания со ссылкой на учебник производится исключительно в учебных целях для лучшего понимания разбора решения задания.

Ниже вариант решения задания из учебника Мерзляк, Номировский, Поляков 10 класс, Просвещение:
21. Для каждого значения а решите неравенство:
1) (x-5)/(x-a)?0; 2) (x+1)(x-a)/(x+1)?0.
