Упражнение 28 Повторение ГДЗ Мерзляк 10 класс Углубленный уровень (Алгебра)
28. Найдите наибольшее и наименьшее значения функции f(x)=|x|^(1/4) на промежутке: 1) [1; 2]; 2) [-1; 1]; 3) (-?; -1]. *Цитирирование задания со ссылкой на учебник производится исключительно в учебных целях для лучшего понимания разбора решения задания.
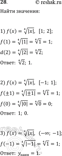
![Решение задачи: 28. Найдите наибольшее и наименьшее значения функции f(x)=|x|^(1/4) на промежутке: 1) [1; 2]; 2) [-1; 1]; 3) (-?; -1]. *Цитирирование задания со ссылкой на учебник производится исключительно в учебных целях для лучшего понимания разбора решения задания.](solutions/algebra/10/635/1-28.png)
Ниже вариант решения задания из учебника Мерзляк, Номировский, Поляков 10 класс, Просвещение:
28. Найдите наибольшее и наименьшее значения функции f(x)=|x|^(1/4) на промежутке:
1) [1; 2]; 2) [-1; 1]; 3) (-?; -1].
