Упражнение 33 Повторение ГДЗ Мерзляк 10 класс Углубленный уровень (Алгебра)
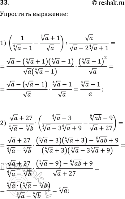
33. Упростите выражение: 1) (1/(a^(1/4)-1)-(a^(1/4)+1)/va):va/(va-2a^(1/4)+1); 2) (va+27)/(a^(1/6)-b^(1/6))·((a^(1/6)-3)/(a^(1/3)-3a^(1/6)+9)-((ab)^(1/6)-9)/(va+27)). *Цитирирование задания со ссылкой на учебник производится исключительно в учебных целях для лучшего понимания разбора решения задания.

Ниже вариант решения задания из учебника Мерзляк, Номировский, Поляков 10 класс, Просвещение:
33. Упростите выражение:
1) (1/(a^(1/4)-1)-(a^(1/4)+1)/va):va/(va-2a^(1/4)+1);
2) (va+27)/(a^(1/6)-b^(1/6))·((a^(1/6)-3)/(a^(1/3)-3a^(1/6)+9)-((ab)^(1/6)-9)/(va+27)).
