Упражнение 35 Повторение ГДЗ Мерзляк 10 класс Углубленный уровень (Алгебра)
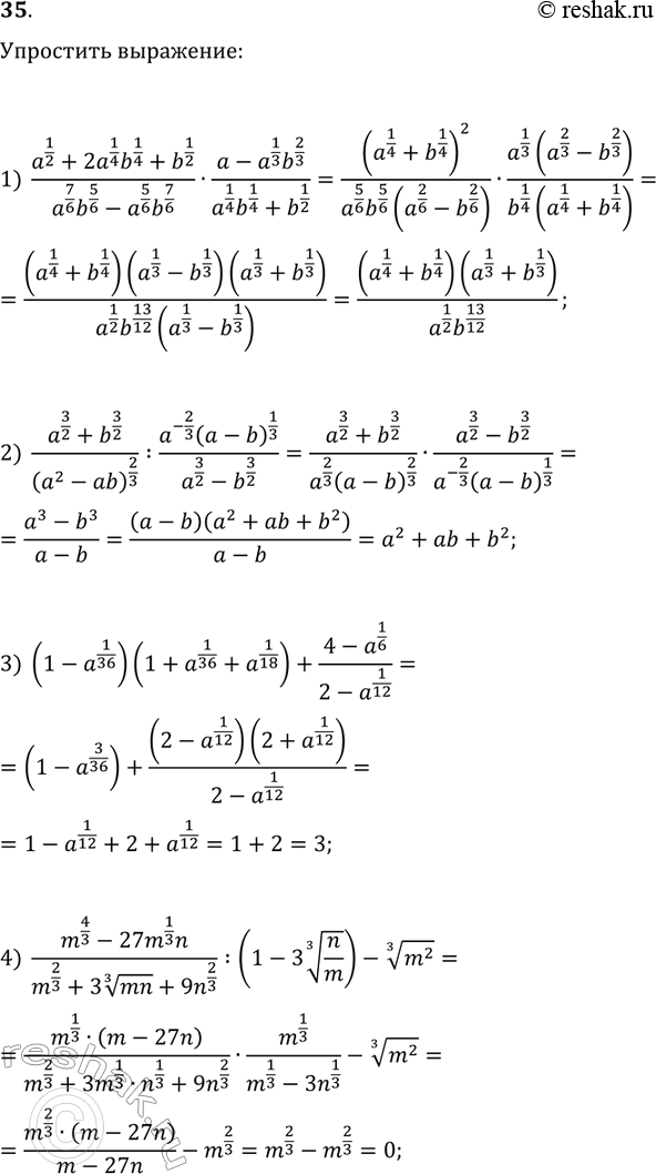
35. Упростите выражение: 1) (a^(1/2)+2a^(1/4)b^(1/4)+b^(1/2))/(a^(7/6)b^(5/6)-a^(5/6)b^(7/6))·(a-a^(1/3)b^(2/3))/(a^(1/4)b^(1/4)+b^(1/2)); 2) (a^(3/2)+b^(3/2))/(a^2-ab)^(2/3):(a^(-2/3)(a-b)^(1/3))/(a^(3/2)-b^(3/2)); 3) (1-a^(1/36))(1+a^(1/36)+a^(1/18))+(4-a^(1/6))/(2-a^(1/12)); 4) (m^(4/3)-27m^(1/3)n)/(m^(2/3)+3(mn)^(1/3)+9n^(2/3)):(1-3(n/m)^(1/3))-(m^2)^(1/3). *Цитирирование задания со ссылкой на учебник производится исключительно в учебных целях для лучшего понимания разбора решения задания.

Ниже вариант решения задания из учебника Мерзляк, Номировский, Поляков 10 класс, Просвещение:
35. Упростите выражение:
1) (a^(1/2)+2a^(1/4)b^(1/4)+b^(1/2))/(a^(7/6)b^(5/6)-a^(5/6)b^(7/6))·(a-a^(1/3)b^(2/3))/(a^(1/4)b^(1/4)+b^(1/2));
2) (a^(3/2)+b^(3/2))/(a^2-ab)^(2/3):(a^(-2/3)(a-b)^(1/3))/(a^(3/2)-b^(3/2));
3) (1-a^(1/36))(1+a^(1/36)+a^(1/18))+(4-a^(1/6))/(2-a^(1/12));
4) (m^(4/3)-27m^(1/3)n)/(m^(2/3)+3(mn)^(1/3)+9n^(2/3)):(1-3(n/m)^(1/3))-(m^2)^(1/3).
