Упражнение 38 Повторение ГДЗ Мерзляк 10 класс Углубленный уровень (Алгебра)
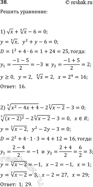
38. Решите уравнение: 1) vx+x^(1/4)-6=0; 2) (x^2-4x+4)^(1/3)-2(x-2)^(1/3)-3=0. *Цитирирование задания со ссылкой на учебник производится исключительно в учебных целях для лучшего понимания разбора решения задания.

Ниже вариант решения задания из учебника Мерзляк, Номировский, Поляков 10 класс, Просвещение:
38. Решите уравнение:
1) vx+x^(1/4)-6=0;
2) (x^2-4x+4)^(1/3)-2(x-2)^(1/3)-3=0.
