Упражнение 42 Повторение ГДЗ Мерзляк 10 класс Углубленный уровень (Алгебра)
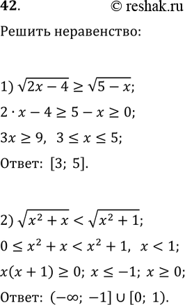
42. Решите неравенство: 1) v(2x-4)?v(5-x); 2) v(x^2+x) *Цитирирование задания со ссылкой на учебник производится исключительно в учебных целях для лучшего понимания разбора решения задания.

Ниже вариант решения задания из учебника Мерзляк, Номировский, Поляков 10 класс, Просвещение:
42. Решите неравенство:
1) v(2x-4)?v(5-x);
2) v(x^2+x)
