Упражнение 44 Повторение ГДЗ Мерзляк 10 класс Углубленный уровень (Алгебра)
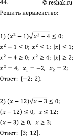
44. Решите неравенство: 1) (x^2-1)v(x^2-4)?0; 2) (x-12)v(x-3)?0. *Цитирирование задания со ссылкой на учебник производится исключительно в учебных целях для лучшего понимания разбора решения задания.

Ниже вариант решения задания из учебника Мерзляк, Номировский, Поляков 10 класс, Просвещение:
44. Решите неравенство:
1) (x^2-1)v(x^2-4)?0;
2) (x-12)v(x-3)?0.
