Упражнение 50 Повторение ГДЗ Мерзляк 10 класс Углубленный уровень (Алгебра)
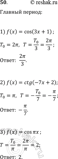
50. Найдите главный период функции: 1) f(x)=cos(3x+1); 2) f(x)=ctg(-7x+2); 3) f(x)=cos(?x). *Цитирирование задания со ссылкой на учебник производится исключительно в учебных целях для лучшего понимания разбора решения задания.

Ниже вариант решения задания из учебника Мерзляк, Номировский, Поляков 10 класс, Просвещение:
50. Найдите главный период функции:
1) f(x)=cos(3x+1);
2) f(x)=ctg(-7x+2);
3) f(x)=cos(?x).
