Упражнение 52 Повторение ГДЗ Мерзляк 10 класс Углубленный уровень (Алгебра)
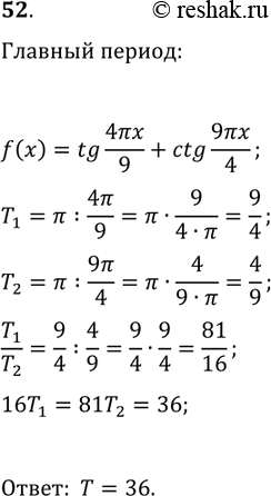
52. Найдите период функции f(x)=tg(4?x/9)+ctg(9?x/4). *Цитирирование задания со ссылкой на учебник производится исключительно в учебных целях для лучшего понимания разбора решения задания.

Ниже вариант решения задания из учебника Мерзляк, Номировский, Поляков 10 класс, Просвещение:
52. Найдите период функции f(x)=tg(4?x/9)+ctg(9?x/4).
