Упражнение 56 Повторение ГДЗ Мерзляк 10 класс Углубленный уровень (Алгебра)
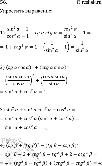
56. Упростите выражение: 1) (sin^2(?)-1)/(cos^2(?)-1)+tg(?)ctg(?); 2) (tg(?)cos(?))^2+(ctg(?)sin(?))^2; 3) sin^2(?)+sin^2(?)cos^2(?)+cos^4(?); 4) (tg(?)+ctg(?))^2-(tg(?)-ctg(?))^2. *Цитирирование задания со ссылкой на учебник производится исключительно в учебных целях для лучшего понимания разбора решения задания.

Ниже вариант решения задания из учебника Мерзляк, Номировский, Поляков 10 класс, Просвещение:
56. Упростите выражение:
1) (sin^2(?)-1)/(cos^2(?)-1)+tg(?)ctg(?);
2) (tg(?)cos(?))^2+(ctg(?)sin(?))^2;
3) sin^2(?)+sin^2(?)cos^2(?)+cos^4(?);
4) (tg(?)+ctg(?))^2-(tg(?)-ctg(?))^2.
