Упражнение 59 Повторение ГДЗ Мерзляк 10 класс Углубленный уровень (Алгебра)
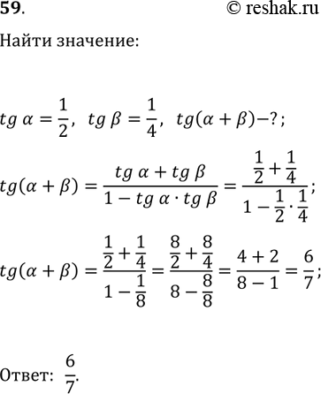
59. Известно, что tg(?)=1/2, tg(?)=1/4. Найдите значение выражения tg(?+?). *Цитирирование задания со ссылкой на учебник производится исключительно в учебных целях для лучшего понимания разбора решения задания.

Ниже вариант решения задания из учебника Мерзляк, Номировский, Поляков 10 класс, Просвещение:
59. Известно, что tg(?)=1/2, tg(?)=1/4. Найдите значение выражения tg(?+?).
