Упражнение 63 Повторение ГДЗ Мерзляк 10 класс Углубленный уровень (Алгебра)
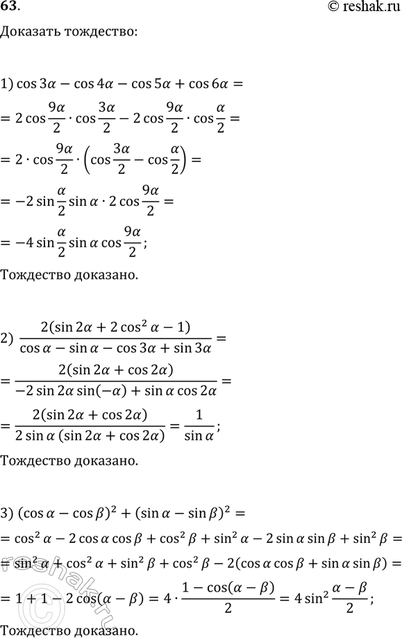
63. Докажите тождество: 1) cos(3?)-cos(4?)-cos(5?)+cos(6?)=-4sin(?/2)sin(?)cos(9?/2); 2) 2(sin(2?)+2cos^2(?)-1)/(cos(?)-sin(?)-cos(3?)+sin(3?))=1/sin(?); 3) (cos(?)-cos(?))^2+(sin(?)-sin(?))^2=4sin^2((?-?)/2); 4) sin(?)+sin(?)+sin(?-?)=4sin(?/2)cos(?/2)cos((?-?)/2); 5) sin(2?)cos(4?)(1+cos(2?))/((sin(3?)+sin(?))(cos(3?)+cos(5?))=1/2; 6) sin^2(15?/8-2?)-cos^2(17?/8-2?)=-cos(4?)/v2. *Цитирирование задания со ссылкой на учебник производится исключительно в учебных целях для лучшего понимания разбора решения задания.


Ниже вариант решения задания из учебника Мерзляк, Номировский, Поляков 10 класс, Просвещение:
63. Докажите тождество:
1) cos(3?)-cos(4?)-cos(5?)+cos(6?)=-4sin(?/2)sin(?)cos(9?/2);
2) 2(sin(2?)+2cos^2(?)-1)/(cos(?)-sin(?)-cos(3?)+sin(3?))=1/sin(?);
3) (cos(?)-cos(?))^2+(sin(?)-sin(?))^2=4sin^2((?-?)/2);
4) sin(?)+sin(?)+sin(?-?)=4sin(?/2)cos(?/2)cos((?-?)/2);
5) sin(2?)cos(4?)(1+cos(2?))/((sin(3?)+sin(?))(cos(3?)+cos(5?))=1/2;
6) sin^2(15?/8-2?)-cos^2(17?/8-2?)=-cos(4?)/v2.
