Упражнение 64 Повторение ГДЗ Мерзляк 10 класс Углубленный уровень (Алгебра)
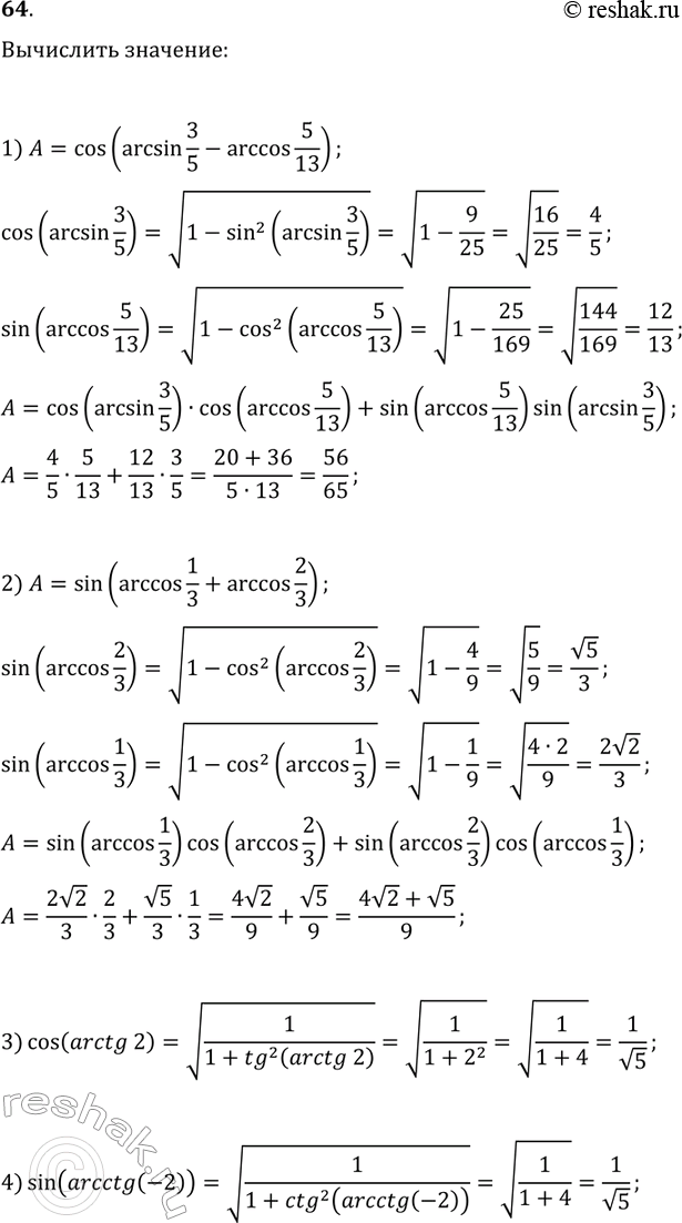
64. Вычислите: 1) cos(arcsin(3/5)-arccos(5/13)); 3) cos(arctg(2)); 2) sin(arcos(1/3)+arccos(2/3)); 4) sin(arcctg(-2)). *Цитирирование задания со ссылкой на учебник производится исключительно в учебных целях для лучшего понимания разбора решения задания.

Ниже вариант решения задания из учебника Мерзляк, Номировский, Поляков 10 класс, Просвещение:
64. Вычислите:
1) cos(arcsin(3/5)-arccos(5/13)); 3) cos(arctg(2));
2) sin(arcos(1/3)+arccos(2/3)); 4) sin(arcctg(-2)).
