Упражнение 67 Повторение ГДЗ Мерзляк 10 класс Углубленный уровень (Алгебра)
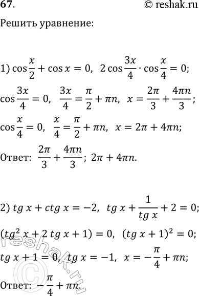
67. Решите уравнение: 1) cos(x/2)+cos(x)=0; 2) tg(x)+ctg(x)=-2. *Цитирирование задания со ссылкой на учебник производится исключительно в учебных целях для лучшего понимания разбора решения задания.

Ниже вариант решения задания из учебника Мерзляк, Номировский, Поляков 10 класс, Просвещение:
67. Решите уравнение:
1) cos(x/2)+cos(x)=0;
2) tg(x)+ctg(x)=-2.
