Упражнение 7 Повторение ГДЗ Мерзляк 10 класс Углубленный уровень (Алгебра)
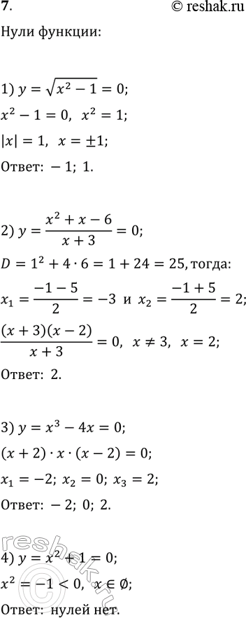
7. Найдите нули функции: 1) y=v(x^2-1); 3) y=x^3-4x; 2) y=(x^2+x-6)/(x+3); 4) y=x^2+1. *Цитирирование задания со ссылкой на учебник производится исключительно в учебных целях для лучшего понимания разбора решения задания.

Ниже вариант решения задания из учебника Мерзляк, Номировский, Поляков 10 класс, Просвещение:
7. Найдите нули функции:
1) y=v(x^2-1); 3) y=x^3-4x;
2) y=(x^2+x-6)/(x+3); 4) y=x^2+1.
