Упражнение 71 Повторение ГДЗ Мерзляк 10 класс Углубленный уровень (Алгебра)
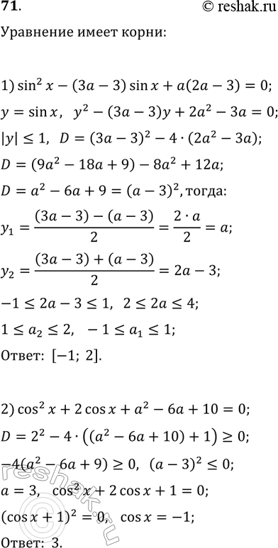
71. При каких значениях параметра а имеет корни уравнение: 1) sin^2(x)-(3a-3)sin(x)+a(2a-3)=0; 2) cos^2(x)+2cos(x)+a^2-6a+10=0? *Цитирирование задания со ссылкой на учебник производится исключительно в учебных целях для лучшего понимания разбора решения задания.

Ниже вариант решения задания из учебника Мерзляк, Номировский, Поляков 10 класс, Просвещение:
71. При каких значениях параметра а имеет корни уравнение:
1) sin^2(x)-(3a-3)sin(x)+a(2a-3)=0;
2) cos^2(x)+2cos(x)+a^2-6a+10=0?
