Упражнение 74 Повторение ГДЗ Мерзляк 10 класс Углубленный уровень (Алгебра)
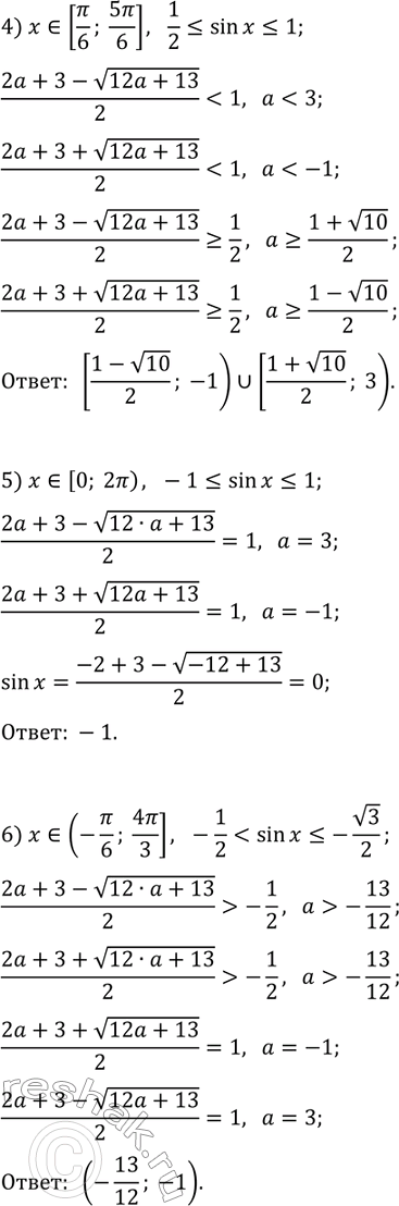
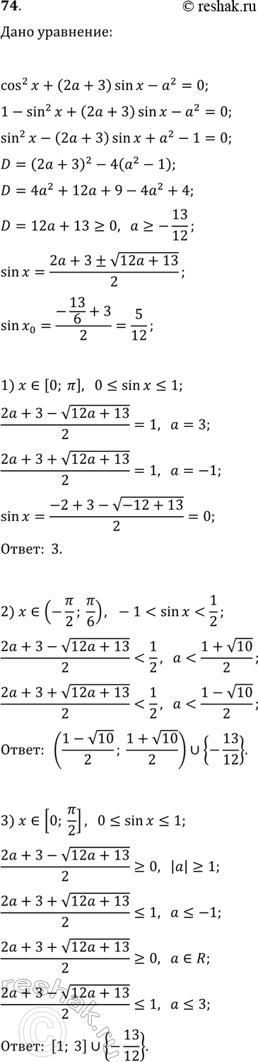
74. При каких значениях параметра а уравнение cos^(x)+(2a+3)sin(x)-a^2=0 имеет: 1) один корень на промежутке [0; ?]; 2) один корень на промежутке (-?/2;
![Решение задачи: 74. При каких значениях параметра а уравнение cos^(x)+(2a+3)sin(x)-a^2=0 имеет: 1) один корень на промежутке [0; ?]; 2) один корень на промежутке (-?/2;](solutions/algebra/10/635/1-74.png)
![Решение задачи: 74. При каких значениях параметра а уравнение cos^(x)+(2a+3)sin(x)-a^2=0 имеет: 1) один корень на промежутке [0; ?]; 2) один корень на промежутке (-?/2;](solutions/algebra/10/635/2-74-.png)
Ниже вариант решения задания из учебника Мерзляк, Номировский, Поляков 10 класс, Просвещение:
74. При каких значениях параметра а уравнение cos^(x)+(2a+3)sin(x)-a^2=0 имеет:
1) один корень на промежутке [0; ?];
2) один корень на промежутке (-?/2; ?/6);
3) один корень на промежутке [0; ?/2];
4) два корня на промежутке [?/6; 5?/6];
5) три корня на промежутке [0; 2?);
6) четыре корня на промежутке (-?/6; 4?/3)?
