Упражнение 76 Повторение ГДЗ Мерзляк 10 класс Углубленный уровень (Алгебра)
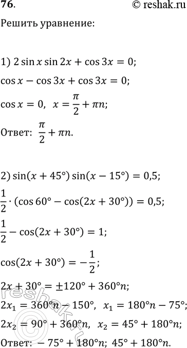
76. Решите уравнение: 1) 2sin(x)sin(2x)+cos(3x)=0; 2) sin(x+45°)sin(x-15°)=0,5. *Цитирирование задания со ссылкой на учебник производится исключительно в учебных целях для лучшего понимания разбора решения задания.

Ниже вариант решения задания из учебника Мерзляк, Номировский, Поляков 10 класс, Просвещение:
76. Решите уравнение:
1) 2sin(x)sin(2x)+cos(3x)=0;
2) sin(x+45°)sin(x-15°)=0,5.
