Упражнение 79 Повторение ГДЗ Мерзляк 10 класс Углубленный уровень (Алгебра)
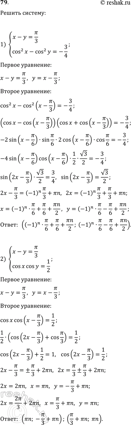
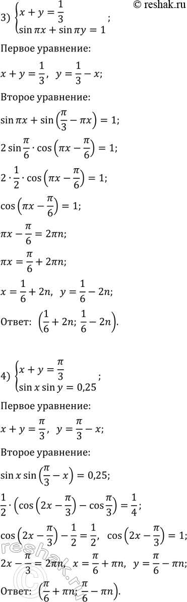
79. Решите систему уравнений: 1) {x-y=?/3, cos^2(x)-cos^2(y)=-3/4}; 2) {x-y=?/3, cos(x)cos(y)=1/2}; 3) {x+y=1/3, sin(?x)+sin(?y)=1}; 4) {x+y=?/3, sin(x)sin(y)=0,25}. *Цитирирование задания со ссылкой на учебник производится исключительно в учебных целях для лучшего понимания разбора решения задания.


Ниже вариант решения задания из учебника Мерзляк, Номировский, Поляков 10 класс, Просвещение:
79. Решите систему уравнений:
1) {x-y=?/3, cos^2(x)-cos^2(y)=-3/4};
2) {x-y=?/3, cos(x)cos(y)=1/2};
3) {x+y=1/3, sin(?x)+sin(?y)=1};
4) {x+y=?/3, sin(x)sin(y)=0,25}.
