Упражнение 8 Повторение ГДЗ Мерзляк 10 класс Углубленный уровень (Алгебра)
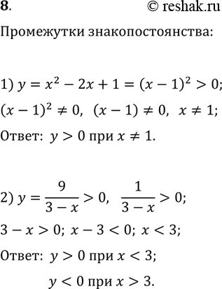
8. Найдите промежутки знакопостоянства функции: 1) y=x^2-2x+1; 2) y=9/(3-x). *Цитирирование задания со ссылкой на учебник производится исключительно в учебных целях для лучшего понимания разбора решения задания.

Ниже вариант решения задания из учебника Мерзляк, Номировский, Поляков 10 класс, Просвещение:
8. Найдите промежутки знакопостоянства функции:
1) y=x^2-2x+1; 2) y=9/(3-x).
