Упражнение 82 Повторение ГДЗ Мерзляк 10 класс Углубленный уровень (Алгебра)
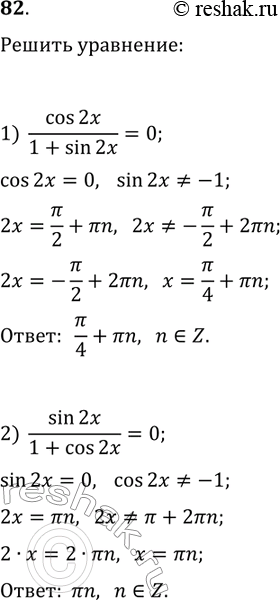
82. Решите уравнение: 1) cos(2x)/(1+sin(2x))=0; 2) sin(2x)/(1+cos(2x))=0. *Цитирирование задания со ссылкой на учебник производится исключительно в учебных целях для лучшего понимания разбора решения задания.

Ниже вариант решения задания из учебника Мерзляк, Номировский, Поляков 10 класс, Просвещение:
82. Решите уравнение:
1) cos(2x)/(1+sin(2x))=0;
2) sin(2x)/(1+cos(2x))=0.
