Упражнение 86 Повторение ГДЗ Мерзляк 10 класс Углубленный уровень (Алгебра)
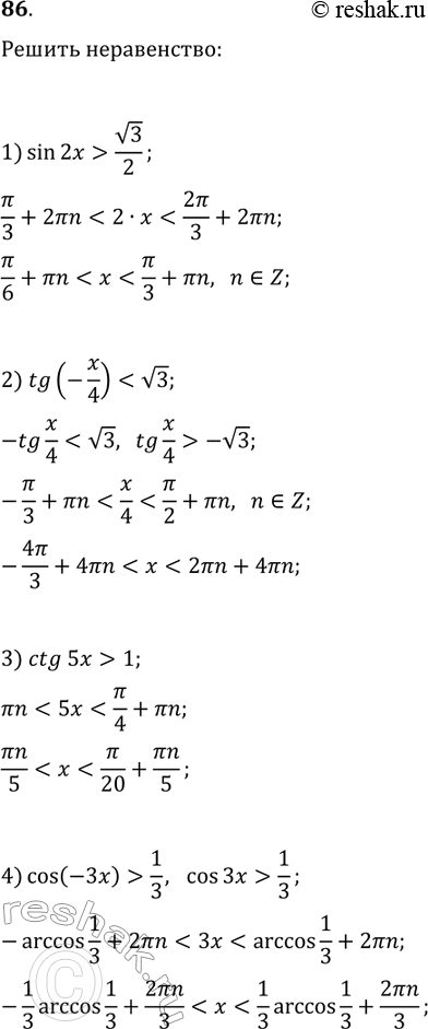
86. Решите неравенство: 1) sin(2x) > v3/2; 3) ctg(5x) > 1; 2) tg(-x/4) 1/3. *Цитирирование задания со ссылкой на учебник производится исключительно в учебных целях для лучшего понимания разбора решения задания.

Ниже вариант решения задания из учебника Мерзляк, Номировский, Поляков 10 класс, Просвещение:
86. Решите неравенство:
1) sin(2x) > v3/2; 3) ctg(5x) > 1;
2) tg(-x/4) 1/3.
