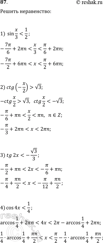
Упражнение 87 Повторение ГДЗ Мерзляк 10 класс Углубленный уровень (Алгебра)
87. Решите неравенство: 1) sin(x/3) 2) ctg(-x/2) > v3; 4) cos(4x) *Цитирирование задания со ссылкой на учебник производится исключительно в учебных целях для лучшего понимания разбора решения задания.
Ниже вариант решения задания из учебника Мерзляк, Номировский, Поляков 10 класс, Просвещение:
87. Решите неравенство:
1) sin(x/3)
2) ctg(-x/2) > v3; 4) cos(4x)

