Упражнение 88 Повторение ГДЗ Мерзляк 10 класс Углубленный уровень (Алгебра)
88. Решите неравенство: 1) -1/2 2) -2 *Цитирирование задания со ссылкой на учебник производится исключительно в учебных целях для лучшего понимания разбора решения задания.
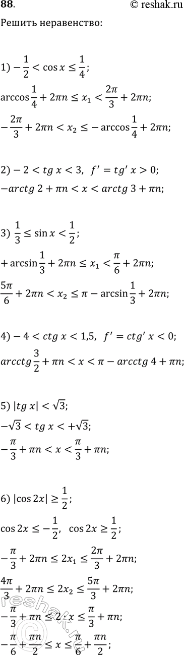
Ниже вариант решения задания из учебника Мерзляк, Номировский, Поляков 10 класс, Просвещение:
88. Решите неравенство:
1) -1/2
2) -2

