Упражнение 89 Повторение ГДЗ Мерзляк 10 класс Углубленный уровень (Алгебра)
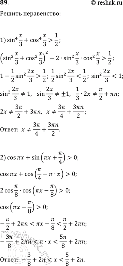
89. Решите неравенство: 1) sin^4(x/3)+cos^4(x/3) > 1/2; 2) cos(?x)+sin(?x+?/4) > 0. *Цитирирование задания со ссылкой на учебник производится исключительно в учебных целях для лучшего понимания разбора решения задания.

Ниже вариант решения задания из учебника Мерзляк, Номировский, Поляков 10 класс, Просвещение:
89. Решите неравенство:
1) sin^4(x/3)+cos^4(x/3) > 1/2;
2) cos(?x)+sin(?x+?/4) > 0.
