Упражнение 9 Повторение ГДЗ Мерзляк 10 класс Углубленный уровень (Алгебра)
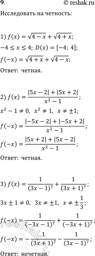
9. Исследуйте функцию на чётность: 1) f(x)=v(4-x)+v(4+x); 2) f(x)=(|5x-2|+|5x+2|)/(x^2-1); 3) f(x)=1/(3x-1)^7+1/(3x+1)^7. *Цитирирование задания со ссылкой на учебник производится исключительно в учебных целях для лучшего понимания разбора решения задания.

Ниже вариант решения задания из учебника Мерзляк, Номировский, Поляков 10 класс, Просвещение:
9. Исследуйте функцию на чётность:
1) f(x)=v(4-x)+v(4+x);
2) f(x)=(|5x-2|+|5x+2|)/(x^2-1);
3) f(x)=1/(3x-1)^7+1/(3x+1)^7.
