Упражнение 90 Повторение ГДЗ Мерзляк 10 класс Углубленный уровень (Алгебра)
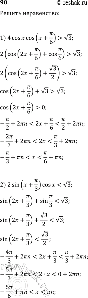
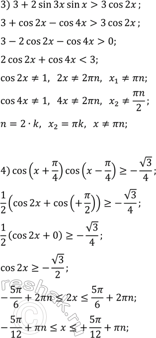
90. Решите неравенство: 1) 4cos(x)cos(x+?/6) > v3; 3) 3+2sin(3x)sin(x) > 3cos(2x); 2) 2sin(x+?/3)cos(x) *Цитирирование задания со ссылкой на учебник производится исключительно в учебных целях для лучшего понимания разбора решения задания.


Ниже вариант решения задания из учебника Мерзляк, Номировский, Поляков 10 класс, Просвещение:
90. Решите неравенство:
1) 4cos(x)cos(x+?/6) > v3; 3) 3+2sin(3x)sin(x) > 3cos(2x);
2) 2sin(x+?/3)cos(x)
