Упражнение 92 Повторение ГДЗ Мерзляк 10 класс Углубленный уровень (Алгебра)
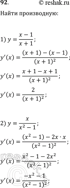
92. Найдите производную функции: 1) y=(x-1)/(x+1); 2) y=x/(x^2-1). *Цитирирование задания со ссылкой на учебник производится исключительно в учебных целях для лучшего понимания разбора решения задания.

Ниже вариант решения задания из учебника Мерзляк, Номировский, Поляков 10 класс, Просвещение:
92. Найдите производную функции:
1) y=(x-1)/(x+1); 2) y=x/(x^2-1).
