Упражнение 95 Повторение ГДЗ Мерзляк 10 класс Углубленный уровень (Алгебра)
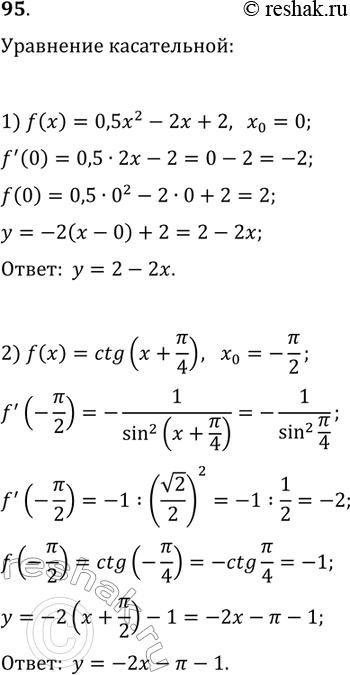
95. Составьте уравнение касательной к графику функции f в точке с абсциссой x_0, если: 1) f(x)=0,5x^2-2x+2, x_0=0; 2) f(x)=ctg(x+?/4), x_0=-?/2. *Цитирирование задания со ссылкой на учебник производится исключительно в учебных целях для лучшего понимания разбора решения задания.

Ниже вариант решения задания из учебника Мерзляк, Номировский, Поляков 10 класс, Просвещение:
95. Составьте уравнение касательной к графику функции f в точке с абсциссой x_0, если:
1) f(x)=0,5x^2-2x+2, x_0=0; 2) f(x)=ctg(x+?/4), x_0=-?/2.
