Упражнение 96 Повторение ГДЗ Мерзляк 10 класс Углубленный уровень (Алгебра)
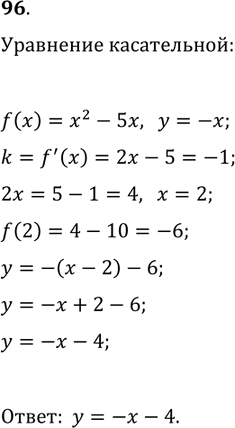
96. Составьте уравнение касательной к графику функции f(x)=x^2-5x, если эта касательная параллельна прямой y=-x. *Цитирирование задания со ссылкой на учебник производится исключительно в учебных целях для лучшего понимания разбора решения задания.

Ниже вариант решения задания из учебника Мерзляк, Номировский, Поляков 10 класс, Просвещение:
96. Составьте уравнение касательной к графику функции f(x)=x^2-5x, если эта касательная параллельна прямой y=-x.
