Упражнение 97 Повторение ГДЗ Мерзляк 10 класс Углубленный уровень (Алгебра)
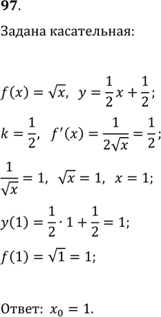
97. Определите, является ли прямая y=1/2 x+1/2 касательной к графику функции y=vx. В случае утвердительного ответа укажите абсциссу точки касания. *Цитирирование задания со ссылкой на учебник производится исключительно в учебных целях для лучшего понимания разбора решения задания.

Ниже вариант решения задания из учебника Мерзляк, Номировский, Поляков 10 класс, Просвещение:
97. Определите, является ли прямая y=1/2 x+1/2 касательной к графику функции y=vx. В случае утвердительного ответа укажите абсциссу точки касания.
